Definition
An ionocraft or ion-propelled aircraft, commonly known as a lifter, is an electrohydrodynamic device that produces thrust in air using electrical energy without moving parts.
Topics of Interest
The term "Ionocraft" dates back to the 1960s, an era in which EHD experiments were at their peak. In its basic form, it simply consists of two parallel conductive electrodes, one in the form of a fine wire and another which may be formed of either a wire grid, tubes or foil skirts with a smooth round surface. When such an arrangement is powered up by high voltage in the range of a few kilovolts, it produces thrust. The ionocraft forms part of the EHD thruster family, but is a special case in which the ionisation and accelerating stages are combined into a single stage.
The device is a popular science fair project for students. It is also popular among non-mainstream anti-gravity or electrogravitics proponents, especially on the Internet, where it is commonly referred to as a lifter. This term is somewhat of a misnomer, since it implies the force can act only against gravity, which is clearly not the case; the magnitude of thrust is totally independent from the mass of the device and its direction is always in the direction of its own axis. Claims of the device working in a vacuum have also been disproven. Due to its popularity, the lifter was featured and vacuum tested in the Discovery Channel science program MythBusters, episode 68. The effect was determined to be thrust rather than anti-gravity.
Ionocrafts require many safety precautions due to the high voltage required for their operation and the risk of lung and throat cancer from long term inhalation of their ionised air product. A large subculture has grown up around this simple EHD thrusting device and its physics are now known to a much better extent.
The ionocraft is a propulsion device based on ionic air propulsion that works without moving parts, flies silently, uses only electrical energy and is able to lift its own weight plus additional payload, with the future prospect of its power supply. The principle of ionic wind propulsion with corona-generated charged particles has been known as from the earliest days of the discovery of electricity, with references dating back to 1709 in a book titled Physico-Mechanical Experiments on Various Subjects by Francis Hauksbee. However, its use for propulsion was first given serious thought by Thomas Townsend Brown in 1928 and later on by Major Alexander Prokofieff de Seversky, who contributed much to its basic physics and construction variations in 1960. In fact, it was Major Alexander Prokofieff de Seversky himself that in 1964 coined the term Ionocraft in his (U.S. Patent 3,130,945 ). The basic external design of these devices can be found in older patents, dating back to 1960 filed by Thomas Townsend Brown, titled "Elektrokinetic Apparatus". More recent research has cleared up many ambiguous issues relating to Brown's original work, and the somewhat elusive Biefeld–Brown effect.
Ionocraft construction
A simple ionocraft derivative, also known as a lifter, can be easily constructed by anyone with a minimal amount of technical knowledge. The model in its simplest form has the shape of an equilateral triangle with sides generally between 10 and 30 cm. They basically consist of three parts, the corona wire (or emitting wire), the air gap (or dielectric fluid), and the foil skirt (collector). The electrical polarities of the emitting and collecting electrodes can be reversed. All of this is usually supported by a lightweight balsawood or other electrically isolating frame so that the corona wire is supported at a fixed distance above the foil skirt, generally at 1 mm per kilovolt. The corona wire and foil should be as close as possible to achieve a saturated corona current condition which results in the highest production of thrust. However the corona wire should not be too close to the foil skirt as it will tend to arc in a spectacular show of tiny lightning bolts which has a twofold effect.
It degrades the thrust as it is shorting the device and there is current flow through the arc instead of the ions that do the lifting
It can destroy the power supply or burn the balsa structure of the Lifter.
Ionocraft components
The corona wire is usually, but not necessarily connected to the positive terminal of the high voltage power supply. In general, it is made from a small gauge bare conductive wire. While copper wire can be used, it does not work quite as well as stainless steel. Similarly, thinner wire such as 50 gauge tends to work well compared to more common, larger sizes such as 30 gauge, as there is less loss of energy.
The corona wire is so called because of its tendency to emit a purple corona-like glow while in use. This is simply a side effect of ionization. Excessive corona is to be avoided, as too much means the electrodes are dangerously close and may arc at any moment, not to mention the associated health hazards due to excess inhalation of ozone and NOx produced by the corona.
The air gap is simply that, a gap of free flowing air between the two electrodes that make up the structure of an ionocraft. The air gap is a vital necessity to the functioning of this device as it is the dielectric used during operation. Best results have been observed with an air gap of 1 mm to every kV.
The collector may take various shapes, as long as it results in a smooth equipotential surface underneath the corona wire. Variations of this include a wire mesh, parallel conductive tubes, or a foil skirt with a smooth round edge. The foil skirt collector is the most popular for small models, and is usually, but not necessarily, connected to the negative side of the power supply. It is usually conveniently made from cheap, lightweight kitchen aluminum foil found at any supermarket in the world.
The foil skirt is named simply because it is shaped much like a skirt, and is made from aluminum foil. It is by far the most fragile part, and must not be crumpled to work properly. Any sharp edges on the skirt will degrade the performance of the thruster, as this will generate ions of opposite polarity to those within the thrust mechanism.
Reversing the polarities of the corona wire with that of the foil does not alter the direction of motion. Thrust will be produced regardless of whether the ions are positive or negative. For positive corona polarity, Nitrogen ions are the main charge carriers, whilst for negative polarity, Oxygen ions will be the main carriers and ozone production will be higher. The slight difference in their ion mobility, results in slightly higher thrust for the positive corona polarity case.
How it works
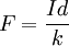
The generated thrust can be explained in terms of electrokinetics or, in modern terms, electrohydrodynamics propulsion and is given by the equation:

where:
F is the resulting force, measured in newtons,
I is the current flow, measured in amperes,
d is the air gap distance, measured in metres, and
k is the ion mobility coefficient of air, measured in m2/(V s). (Nominal value 2×10−4 m2/(V s))
In its basic form, the ionocraft is able to produce forces great enough to lift about a gram of payload per watt, so its use is restricted to a tethered model. Ionocrafts capable of payloads in the order of a few grams usually need to be powered by power sources and high voltage converters weighing a few kilograms, so although its simplistic design makes it an excellent way to experiment with this technology, it is unlikely that a fully autonomous ionocraft will be made with the present construction methods. Further study in electrohydrodynamics, however, show that different classes and construction methods of EHD thrusters and hybrid technology (mixture with lighter than air techniques), can achieve much higher payload or thrust-to-power ratios than those achieved with the simple lifter design. Practical limits can be worked out using well defined theory and calculations such as those given on the 'Ionocraft mathematical analysis and design solutions' paper (see external links). Thus, a fully autonomous EHD thruster is theoretically possible.
When the ionocraft is turned on, the corona wire becomes charged with high voltage, usually between 20 and 50 kV. The user must be extremely careful not to touch the device at this point, as it can give a nasty shock. At extremely high current, well over the amount usually used for a small model, contact could be fatal. When the corona wire is at approximately 30 kV, it causes the air molecules nearby to become ionised by stripping the electrons away from them. As this happens, the ions are strongly repelled away from the anode but are also strongly attracted towards the collector, causing the majority of the ions to begin accelerating in the direction of the collector. These ions travel at a constant average velocity termed the drift velocity. Such velocity depends on the mean free path between collisions, the external electric field, and on the mass of ions and neutral air molecules. If this were the only effect present, there would be no movement; as the ions impact the second electrode, they create another equal and opposite force that cancels out the initial movement.
The fact that the current is carried by a corona discharge (and not a tightly-confined arc) means that the moving particles are diffusely spread out into an expanding ion cloud, and collide frequently with neutral air molecules. It is these collisions that create a net movement. The momentum of the ion cloud is partially imparted onto the neutral air molecules that it collides with, which, being neutral, do not eventually migrate back to the second electrode. Instead they continue to travel in the same direction, creating a neutral wind. As these neutral molecules are ejected from the ionocraft, there are, in agreement with Newton's Third Law of Motion, equal and opposite forces, so the ionocraft moves in the opposite direction with an equal force. There are hundreds of thousands of molecules per second ejected from the device, so the force exerted is comparable to a gentle breeze. Still, this is enough to make a light balsa model lift off its own weight. The resulting thrust also depends on other external factors including air pressure and temperature, gas composition, voltage, humidity, and air gap distance.
The air gap is very important for the function of this device. Between the electrodes there is a mass of air, consisting of neutral air molecules, which gets in the way of the moving ions. This air mass is impacted repeatedly by excited particles moving at high drift velocity. This creates resistance, which must be overcome. The barrage of ions will eventually either push the whole mass of air out of the way, or break through to the collector where electrons will be reattached, making it neutral again. The end result of the neutral air caught in the process is to effectively cause an exchange in momentum and thus generate thrust. The heavier and denser the gas, the higher the resulting thrust.
Source: Wikipedia (All text is available under the terms of the GNU Free Documentation License and Creative Commons Attribution-ShareAlike License.)
|